1. Introducere
Emisiile antropogene de poluanţi atmosferici au crescut enorm în ultimul secol. Creşterea s-a datorat pe de o parte creşterii demografice şi pe de altă parte intensificării industrializării. Depunerile rezultate au avut un impact ecologic semnificativ asupra sănătăţii şi funcţionării ecosistemelor forestiere.
Pentru supravegherea pe scară largă a efectelor poluării aerului asupra pădurii, la nivel european a fost lansat în anul 1985 un program complex de cercetare (ICP Forests- International Co-operative Programme on Assessment and Monitoring of Air Pollution Effects on Forests), care se derulează pe baza unor metode unitare de investigare, elaborate în comun de specialişti din toate ţările europene (Programme Coordinating Centres, 1994). Ca semnatară a documentului final al Conferinţei ministeriale pentru protejarea pădurilor în Europa, desfăşurată la Strasbourg în 1990, România este implicată alături de celelalte ţări europene în ICP Forests.
Cercetările privind depunerile atmosferice în cadrul ICP Forests au fost demarate în România în 1995 cu testarea metodelor de colectare a precipitaţiilor (Barbu, 1997) şi a metodelor de analiză în laborator (Iacoban, 1996). În perioada 1996-1997 s-au instalat şapte suprafeţe experimentale (patru în nord – estul şi trei în sudul ţării), în care s-au executat măsurători şi prelevări sistematice de probe de precipitaţii care au fost analizate în laborator
Scopul cercetărilor prezentate în continuare a fost de a stabili evoluţia intrărilor de ioni minerali în ecosisteme forestiere reprezentative din România în perioada 1998-2002, prin compararea fluxurilor principalilor ioni minerali măsurate în anul 2002, cu mediile determinate în perioada 1998-2001, şi aprecierea depunerilor atmosferice totale din România în raport cu cele obţinute în diferite regiuni ale Europei.
2. Material și metodã
Pe baza rezultatelor obţinute în perioada 1998-2000 privind cantităţile şi parametrii fizico-chimici ai apelor de precipitaţii colectate cu trei tipuri de captatori (pungă, cilindru şi jgheab), începând cu anul 2001 sa decis folosirea unui singur tip de captator: tip pungă, cu suprafaţa de recepţie de 0,028 m2, în perioada sezonului rece şi respectiv tip jgheab, cu suprafaţa de 0,1 m2 în perioada de vegetaţie (Barbu, 1997). Pentru comparabilitatea rezultatelor obţinute în perioada 2001-2002 cu cele anterioare, în prezenta lucrare s-au calculat valorile fluxurilor în intervalul 1998-2002 pentru acelaşi tip de captatori: tip pungă (sezonul rece) şi respectiv tip jgheab (sezonul de vegetaţie). Probele au fost recoltate lunar în sezonul rece (lunile noiembrie-martie) şi bilunar, pe data de 1, respectiv 16 a fiecărei luni în sezonul de vegetaţie (lunile aprilieoctombrie). Precipitaţiile colectate de la fiecare din cei doi captatori amplasaţi în teren liber au fost măsurate şi amestecate pentru a obţine o probă medie.
Suprafeţele experimentale în care s-au făcut măsurători pentru determinarea fluxurilor ionilor minerali sunt prezentate în tabelul 1.
Metodele de analiză a parametrilor fizico-chimici ai apelor de precipitaţii recomandate de ICP Forests şi cele utilizate în laboratorul Staţiunii I.C.A.S. Câmpulung Moldovenesc sunt prezentate în tabelul 2.
Pentru verificarea validităţii rezultatelor s-au folosit:
– balanţele ionice, mai ales pentru probele colectate din teren liber. În acest scop s-au comparat suma cationilor cu suma anionilor, exprimate în ěeq/l.
– compararea conductivităţii calculate cu conductivitatea măsurată, mai ales în cazul probelor colectate sub coronament;
– reanalizarea a cel puţin 5 % din totalul probelor intrate în laborator;
– analizarea a cel puţin două probe sintetice în fiecare serie de 20-30 probe reale de precipitaţii pentru verificarea preciziei de măsurare şi reanalizarea întregii serii în cazul în care abaterile pentru probele sintetice au depăşit ±10 %;
– participarea la exerciţii de intercalibrare cu laboratoare din ţară (A.P.M. Suceava, A.P.M. Bacău, Universitatea Bucureşti – Facultatea de Geografie) şi din străinătate (INRA Nancy, CNRS Nancy, Franţa, AQUACON-Ispra Italia) (Iacoban, 1998, 2000).
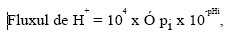
Calcularea fluxurilor de protoni şi de ioni minerali s-a făcut pe baza formulelor:
unde:
Fluxul de protoni – cantitatea de protoni intrată, exprimată în g/ha/an;
pi – cantitatea de precipitaţii, în mm, corespunzătoare perioadei i (o lună în sezonul rece, respectiv 15 zile în sezonul de vegetaţie);
pHi – valoarea pH-ului corespunzătoare perioadei i.
unde:
Fluxul de ioni Q – cantitatea de ioni Q, exprimata în kg/ha/an
pi – cantitatea de precipitatii, în mm
ci – concentratia ionului Q, corespunzatoare perioadei i, în mg/l.
Pentru a pune în evidenţă tendinţa de evoluţie a fluxurilor ionilor minerali în suprafeţele experimentale studiate s-au comparat valorile fluxurilor determinte în anul 2002 cu media fluxurilor înregistrate în perioada 1998-2001. Deoarece în anul 2002 datele obţinute în ecosistemele din nordul ţării au fost incomplete şi nu au permis calcularea fluxului anual, în lucrarea de faţă se vor compara fluxurile ionilor minerali obţinute în ecosistemele forestiere din sudul ţării în anul 2002 cu cele obţinute în perioada 1998-2001 Cantitatea anuală de precipitaţii influenţează fluxurile ionilor minerali şi de aceea s-au comparat şi cantităţile de precipitaţii corespunzătoare perioadei precizate.
3. Rezultate
Analizând graficele din figura 1, se constată că în teren liber, fluxul precipitaţiilor a fost mai scăzut în anul 2002 la Fundata (cu 20 %) şi Mihăieşti (cu 15 %) decât media obţinută în perioada 1998-2001, în schimb la Ştefăneşti s-a înregistrat o creştere a cantităţii de precipitaţii căzute cu aproximativ 20 %.
Aciditatea precipitaţiilor colectate în teren liber, calculată pe baza valorilor pHului, a crescut cu 9 % la Fundata, fluxul de protoni în 2002 ajungând la valoarea de 77 g H+/ha/an. La Mihăieşti s-a înregistrat o creştere de aproape 6 ori a acidităţii, de la valoarea medie de 23 g H+/ha/an calculată pentru perioada 1998-2001 la 130 g H+/ha/an în 2002 Această evoluţie se poate datora perioadei de 3 luni fără precipitaţii de la începutul anului 2002, urmată de lunile de vară şi toamnă cu precipitaţii acide abundente (precipitaţiile colectate la 1 august au totalizat 90 mm, pH-ul fiind de 3,97 unităţi, deci doar în două săptămâni în ecosistemul de la Mihăieşti au intrat 96,4 g H+, adică 74 % din intrările de protoni înregistrate în anul 2002). Spre deosebire de Fundata şi Mihăiaşti, la Ştefăneşti se înregistrează o scădere a intrărilor de protoni cu peste 50 %. Se remarcă faptul că scăderea fluxului precipitaţiilor corespunde creşterii fluxurilor de protoni (la Fundata şi Mihăieşti) şi invers, creşterea fluxului precipitaţiilor a coincis cu scăderea acidităţii acestora (la Ştefăneşti).
Fluxurile de ioni S-SO4 2-, N-NO3– şi Cl– s-au redus în teren liber în toate suprafeţele studiate în anul 2002, comparativ cu fluxurile medii înregistrate în perioada 1998- 2001. Pentru ionul sulfat, depunerile s-au redus de la 10-12,5 kg S-SO4 2-/ha/an în 1998-2001 la valori cuprinse între 8-10 kg S-SO4 2-/ha/an în 2002. Pentru ionul Cldepunerile s-au redus cu 7-10 %. La nivelul anului 2002, fluxurile ionului Cl au fost cuprinse între 6-8 kg/ha/an la Fundata şi Mihăieşti, în timp ce la Ştefăneşti intrările de ioni clor au fost de aproximativ două ori mai ridicate, totalizând peste 12 kg /ha /an.
În cazul ionului N-NO3–, fluxul s-a redus cu 29 % la Fundata, cu 54 % la Mihăieşti şi cu 73 % la Ştefăneşti (de la 9,7 kg/ha/an la 2,6 kg/ha/an). Depunerile de ioni azotat au înregistrat cele mai importante reduceri dintre anionii studiaţi, în anul 2002 valorile fiind mai scăzute de 3 kg N-NO3–/ha/an în toate suprafeţele studiate.
Pentru ionul N-NH4+, fluxul a scăzut doar la Fundata la aproximativ jumătate faţă de perioada anterioară, în schimb la Mihăieşti şi Ştefăneşti s-a constatat o creştere a fluxului în ioni amoniu. Valorile fluxului determinate pentru anul 2002 s-au situat în jur de 4,5 kg N-NH4+/ha/an la Fundata şi Mihăieşti, în schimb la Ştefăneşti au depăşit 12 kg N-NH4+/ha/an.
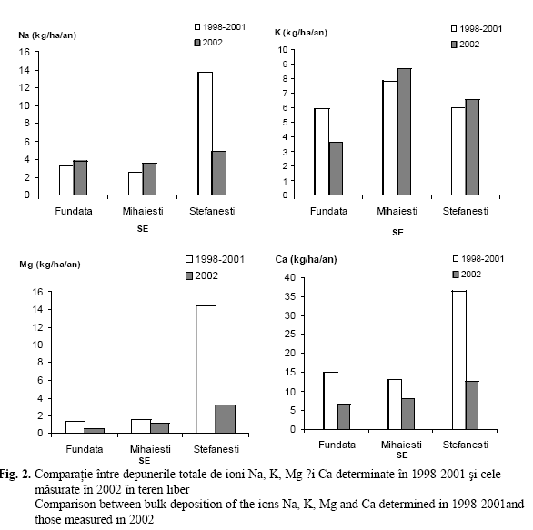
Graficele din figura 2 indică o scădere de 3-4 ori a fluxurilor de metale (Na, Mg, Ca) în suprafaţa experimentală Ştefăneşti în anul 2002, comparativ cu media determinată pentru perioada 1998-2001, probabil datorită reducerii sau chiar sistării activităţii unor întreprinderi poluatoare. La Fundata şi Mihăieşti, fluxul de ioni Na a înregistrat o creştere de 15-40 %, în schimb în cazul ionilor Mg şi Ca se constată o scădere a fluxului, dar nu atât de accntuată ca la Ştefăneşti. Valorile depunerilor de Mg se situează sub 3,5 kg /ha /an în toate suprafeţele experimentale studiate.
Scăderea fluxului ionului Ca2+ în toate suprafeţele experimentale prezintă importanţă deosebită datorită implicării acestui ion în neutralizarea depunerilor acide. La Fundata şi Mihăieşti, fluxurile de ioni Ca au scăzut de la 13-15 kg/ha/an, la 6-8 kg/ha/an, iar la Ştefăneşti depunerile de Ca au scăzut de la 37 la 13 kg/ha/an.
Pentru K se observă o scădere a cantităţilor intrate cu aproximativ 40 % la Fundata, în timp ce la Mihăieşti şi Ştefăneşti intrările de potasiu au crescut cu 9-11 % în 2002 faţă de media valorilor din 1998-2001. Dacă la Fundata depunerile de K au fost în jur de 3,5 kg/ha/an, la Mihăieşti şi Ştefăneşti valorile au fost relativ duble (8,8 kg/ha/an la Mihăieşti şi 6,5 kg/ha/an la Ştefăneşti).
Deşi pentru cationii Na şi K nu se poate stabili o tendinţă clară de evoluţie, în cazul cationilor de Ca şi Mg s-a constatat tendinţa evidentă de scădere a fluxurilor în 2002 faţă de 1998-2001 cu 39-66 % pentru Ca, respectiv cu 31-78 % pentru Mg. În tabelul 3 sunt prezentate valorile medii ale fluxurilor ionilor minerali pentru nordul şi sudul ţării în perioada 1994-2002.
Se constată că valorile determinate pentru intrările de ioni N-NO3 – şi N-NH4+ în 1994 la Agenţia de Protecţia Mediului Suceava sunt apropiate de valorile medii determinate la I.C.A.S. Câmpulung în perioada 1998-2001. Metodele de analiză folosite în cele două laboratoare au fost aceleaşi şi sunt specificate în tabelul 2. Pentru ionii S-SO42- şi Cl– însă, valorile obţinute în 1994 sunt aproape duble faţă de cele înregistrate în perioada 1998-2001. metodele de analiză pentru aceşti doi ioni au fost diferite.
Comparând fluxurile medii obţinute în perioada 1998-2001 în nordul ţării cu cele din sud din aceeaşi perioadă se constată că pentru majoritatea ionilor, cu excepţia H+şi Cl– valorile obţinute sunt relativ egale sau mai ridicate în sud decât în nord, mai ales în cazul ionilor S-SO42-, Na+, Mg2+, Ca2+ (cu 33 până la 128 % , raportat la medie).
Analizând cantităţile de ioni minerali intrate în ecosistemele din sudul ţării în anul 2002 şi cantităţile medii intrate în perioada 1998-2001 se constată următoarele:
– o creştere a întrărilor de protoni de la 42 g/ha/an la 74 g/ha/an. Aceasta se explică prin reducerea mai accentuată a depunerilor totale de cationi (mai ales Mg2+, Ca2+, Na+) faţă de reducerea depunerilor de anioni (Cl–,S-SO42-, N-NO3–);
– reducerea fluxurilor de anioni (Cl-,SSO42-, N-NO3-);
– menţinerea relativ constantă a depunerilor de ioni amoniu;
– reducerea intrărilor de azot mineraltotal (N-NO3– + N-NH4+);
– reducerea intrărilor de ioni metalici (K+, Na+, Mg2+, Ca2+).
Se poate afirma că pe baza măsurătorilor efectuate în trei ecosisteme forestiere din sudul ţării, în perioada 1998-2002, la nivelul anului 2002 se constată o tendinţă generală de reducere a fluxurilor ionilor minerali comparativ cu perioada 1998- 2001. Rezultatele obţinute vor putea fi corelate cu evoluţia stării de sănătate a pădurilor din România pentru perioada analizată.
4. Discuții
Ionul sulfat prezent în precipitaţiile colectate în teren liber provine în principal din activităţile industriale (Ulrich, 2002). Scăderea intrărilor de ioni sulfat din atmosferă în ecosistemele forestiere studiate în anul 2002 comparativ cu intervalul 1998- 2001 este rezultatul sistării activităţii unor întreprinderi cu tehnologii învechite, puternic poluatoare din ţară, dar şi o consecinţă a aplicării celor două protocoale de reducere a emisiilor de sulf la nivel european, primul adoptat în 1985, care prevedea reducerea emisiilor înregistrate la nivelul anilor 1980 cu 30 % până în 1993, iar al doilea, adoptat în 1994, care impunea reducerea în continuare a emisiilor de sulf de către fiecare din ţările semnatare, până în anul 2000 (Ukonmaanaho, 2001). În anul 2002, depunerile atmosferice de ioni sulfat s-au redus cu 19-25 % în suprafeţele experimentale din sudul României luate în studiu, comparativ cu va-lorile medii determinate în perioada 1998-2001.
Ionul azotat este un compus caracteristic poluării determinate de traficul rutier (Ulrich, 2002). Scăderea accentuată a fluxurilor de ioni azotat (cu 29-73 %) în ecosistemele din sudul României poate fi deci rezultatul reducerii emisiilor de oxizi de azot pe plan naţional, dar şi consecinţa aplicării la nivel european a protocolului privind controlul emisiilor de oxizi de azot adoptat la Sofia în 1988 (Convention on Long – Range Transboundary Air Pollution, CLRTAP, 2003). Protocolul prevede menţinerea emisiilor şi a transportului la distanţă a oxizilor de azot la nivelul celor înregistrate în 1987 sau redu-cerea emisiilor comparativ cu acest an. În 1994, la nivel european, emisiile s-au redus cu până la 9 %. 19 din cele 25 de state semnatare ale protocolului şi-au menţinut constante sau au redus emisiile de NOx faţă de anul de referinţă. Deşi România nu este semnatară a acestui protocol, în suprafeţele studiate s-a înregistrat o scădere accentuată a intrărilor de ioni azotat în 2002 comparativ cu 1998-2001.
Ionul amoniu, răspunzător alături de ionul azotat de procesele de acidifiere şi nitrificare este în principal un indicator al activităţilor agricole, mai ales zootehnice (Pearson şi Stewart, 1993, citaţi de Amezaga şi al, 1997; Ulrich, 2002). Deoarece acest ion se depune mai aproape de sursele de emisie decât ceilalţi compuşi, creşterea fluxurilor în 2002 faţă de 1998- 2001, în suprafeţele experimentale de la Mihăieşti şi Ştefăneşti se poate datora în principal intensificării activităţilor agricole din zonele învecinate.
Ionii sodiu şi clor sunt în mare parte de origine marină (Ulrich, 2002). Scăderea accentuată (cu 65 %) a fluxului ionilor de sodiu în suprafaţa experimentală Ştefăneşti în 2002 faţă de perioada 1998-2001 sugerează totuşi că în acest caz ionul sodiu a provenit dintr-o sursă de poluare industrială, a cărei activitate a fost probabil redusă sau sistată. Deoarece în suprafeţele experimentale de la Fundata şi Mihăieşti s-au înregistrat creşteri ale fluxurilor de ioni sodiu, nu se poate vorbi de o tendinţă clară de evoluţie a intrărilor în sudul României. Pentru ionul Cl– s-a constat scăderea fluxurilor cu 7-10 % în toate cele trei ecosisteme studiate.
Ca2+, Mg2+ şi K+ sunt în general de origine terestră (Ulrich, 2002), dar pot proveni şi din procese industriale, producţia de energie şi din traficul rutier (Ukonmaanaho, 2001). K+, care este cel mai mobil element din materialul foliar (80-90 % din K total este solubil în apă ( Clement, 1989), poate să provină şi din polen sau resturi vegetale depuse pe captatori, mai ales în suprafeţe experimentale situate în apropierea ecosistemelor forestiere, cum sunt cele amplasate în cadrul prezentului studiu.
Rezultatele din tabelul 3 privind fluxurile ionilor S-SO42- şi Cl– determinate îm nordul României în 1994, respectiv 1998-2001 trebuie interpretate cu prudenţă, având în vedere că metodele de analiză utilizate pentru aceşti doi ioni au fost diferite în cele două laboratoare. Analizele efectuate în 1997 pentru ionul Cl– la o serie de 14 probe au permis obţinerea unor rezultate sistematic mai ridicate la A.P.M. Suceava decât la I.C.A.S. Câmpulung, punând în evidenţă o tendinţă de supraestimare a metodei titrimetrice folosite la A.P.M. comparativ cu cea colorimetrică folosită la I.C.A.S. Metoda turbidimetrică de determinare a ionului S-SO42- nu a dat rezultate satisfăcătoare la analiza probelor sintetice cu concentraţii apropiate de cele ale apelor de precipitaţii şi apelor de suprafaţă, analizate de laboratoarele participante la exerciţiile de intercalibrare AQUACON (Mosello, 1995, 2002) şi nu se numără printre metodele acceptate de Manualul ICP Forests (Programme Coordinating Centres, 1994) pentru analiza probelor de precipitaţii.
Valorile medii ale fluxurilor de ioni S-SO42-, Na+, Mg2+, Ca2+ pentru perioada 1998-2001 au fost mai ridicate în sudul României comparativ cu zona de nord probabil datorită prezenţei fabricii de ciment de la Câmpulung Muscel la o distanţă de 30-50 km de suprafeţele experimentale instalate la Fundata şi Mihăieşti, precum şi localizării suprafeţei de la Ştefăneşti în apropierea Bucureştiului, deci a unei aglomerări urbane cu numeroase centre industriale.
În tabelul 4 sunt prezentate fluxurile principalilor ioni minerali în ţări sau zone ale Europei pentru perioada 1993-1998, pentru compararea valorilor cu cele obţinute în România. Compararea se poate face la un nivel foarte general, în principal pe baza tendinţelor plurianuale şi nu luând în considerare depunerile anuale, deoarece perioadele de calcul ale depunerilor sunt diferite şi numărul de suprafeţe experimentale este foarte variabil. Probabilitatea de a obţine valori ridicate ale depunerilor creşte cu numărul suprafeţelor ex-perimen-tale instalate, da-torită dificultăţii de a găsi suprafeţe reprezentative pentru o regiune vastă pentru instalarea suprafeţelor experimentale (Ul-rich, 2002). De exemplu, numărul de suprafeţe experimentale luate în studiu în Austria, mai mare decât în Franţa (raportat la suprafaţa ţării) şi decât în restul ţărilor constituie probabil cauza înregistrării frecvente a unor valori maxime ale depunerilor în Austria.
Analizând datele din tabelul 4 obţinute în Europa şi comparându-le cu cele din tabelul 3 determinate în România, se pot face următoarele aprecieri:
– intrările medii de protoni înregistrate în România sunt reduse raportate la valorile medii şi intervalele de variaţie înregistrate în alte ţări europene;
– fluxurile de ioni sulfat determinate în România în perioada 1994-2002 se încadrează în categoria depunerilor mijlocii şi chiar ridicate ale depunerilor acestui ion în Europa, la nivelul anilor 1993-1998;
– intrările de ioni clor în ecosistemele din România sunt comparabile cu cele înregistrate în Austria şi se situează la jumătatea celor obţinute în Franţa, unde influenţa marină este importantă. Deci fluxurile de ioni clor sunt reduse şi mijlocii, raportate la valorile obţinute în alte ţări europene;
– fluxurile de ioni azotat în ţara noastră sunt comparabile cu cele înregistrate în Franţa, Germania, Austria, Belgia şi Norvegia şi mai ridicate decât cele măsurate în Finlanda, care sunt foarte reduse;
– depunerile de ioni amoniu sunt ridicate în România, comparabile cu valorile determinate în Germania şi depăşindu-le pe cele înregistrate în celelalte ţări europene specificate în tabelul 4;
– pentru ionii metalici (K+, Mg2+, Ca2+) valorile depunerilor totale determinate în ţara noastră sunt comparabile sau mai ridicate decât cele obţinute în alte ţări din Europa (mai ales în cazul ionului Ca2+);
– depunerile de ioni sodiu măsurate în România se încadrează în categoria celor relativ reduse, prin comparaţie cu valorile determinate în celelalte ţări europene.
5. Concluzii
În intervalul 1998-2002 în ecosistemele forestiere din sudul României s-a manifestat tendinţa generală de reducere a depunerilor de anioni S-SO42- (cu 19-25%), N-NO3– (cu 29-73%) şi Cl–(cu 9-10%) în anul 2002 comparativ cu depunerile medii înregistrate în perioada 1998-2001, ca o consecinţă a reducerii emisiilor la nivel naţional, dar şi a scăderii emisiilor şi transportului la distanţă a poluanţilor la nivel european.
Pentru cationii N-NH4+, Na+ şi K+ nu s-a putut stabili o tendinţă clară de evoluţie, în schimb s-a conturat reducerea accentuată a fluxurilor de cationi Ca2+şi Mg2+ în toate cele 3 suprafeţe studiate cu 31-78% în anul 2002 comparativ cu mediile din intervalul 1998-2001.
Ca urmare a scăderii mai accentuate a intrărilor de cationi comparativ cu intrările de anioni, având în vedere necesitatea echilibrării balanţei ionice, intrările de protoni au crescut la Fundata şi Mihăieşti şi au înregistrat o scădere la Ştefăneşti.
În intervalul 1998-2001, valorile medii ale fluxurilor de ioni H+ şi Cl– au fost mai ridicate (cu 9 %, respectiv 25 %, raportat la medie) în nordul României decât în sud, în schimb pentru ceilalţi ioni minerali fluxurile au avut valori medii comparabile (N-NO3–) sau mai scăzute (S-SO42-, N-NH4+, K+, Mg2+,Ca2+) în nord decât în sud.
Intrările de protoni, ioni sodiu şi clor în România în perioada 1998-2002 au fost relativ reduse comparativ cu cele determinate în alte zone ale Europei, în perioada 1993-1998. Depuneri mijlocii şi ridicate s-au determinat pentru ionul sulfat, iar pentru ionii amoniu şi ionii metalici (K+, Mg2+, Ca2+) valorile înregistrate în România au fost ridicate comparativ cu cele măsurate în Europa.
Bibibliografie
Amezaga, I., Gonzales, A., Domingo, M., Echeandia, A., Onaindia, M., 1997. Atmos-pheric deposition and canopy interactions for conifer and deciduous forests in Northern Spain, Water, Air and Soil Pollution 97: 303-313.
Barbu, I., 1997. Cercetări privind dinamica depunerilor minerale din atmosferă şi nutriţia speciilor de arbori în principalele ecosisteme forestiere, referat ştiinţific final, tema A24 (5.5)/1997, I.C.A.S, 119 p.
Barbu, I., Diţoiu, V., 1995. Cercetări asupra conţinutului în ioni poluanţi al apelor din precipitaţiile căzute în judeţul Suceava în perioada 1991- 1994, Bucovina Forestieră, 2: 37-49.
Clement, A., 1989: Equilibre ionique du tissu foliaire de l’epicea – Picea abies Karst. – et du pin noir d’Autrische – Pinus nigra Arnold ssp. Nigricans. These pour Docteur d’etat – et sciences, Institut National Polytechnique de Lorraine, France, 382 p.
CLRTAP, 2003. Web: http://www.unece.org/env/ lrtap/. Accesat 2003.
De Vries, W., Reids, G.J., Deelstra, H.D., Klap, J.M., Vel E.M. (Eds.), 1998. Intensive Monitoring of Forest Ecosystems in Europe. Technical report, EC, UN/ECE, Brussels, Geneva, 104 p.
EMEP, 1996. Co-perative Programme for Monitoring and Evaluation of the Long-Range Transmission of Air Pollutants in Europe. Manual for sampling and chemical analysis,
EMEP/CCC-Report 1/1995, Norwegian Institute for Air Research, Kyeller, Norway
Iacoban, C., 1996. Aspecte privind repetitivitatea şi repetabilitatea rezultatelor obţinute la analiza unor parametri ai apelor de precipitaţii, Bucovina Forestieră, 1-2: 47-53.
Iacoban, C., 1998. Rezultatele obţinute în cadrul proiectului AQUACON la analiza probelor de precipitaţii şi a apelor de suprafaţă de către laboratorul I.C.A.S. Câmpulung Moldovenesc, Bucovina Forestieră, 1-2: 25-33.
Iacoban, C., 2000. Comparabilitatea rezultatelor obţinute la analiza unor parametri ai apelor de precipitaţii, Bucovina Forestieră 2: 3-14
Mănescu, S., Cucu, M., Diaconescu, M. L., 1994. Chimia sanitară a mediului, Ed. Medicală, Bucureşti, 384 p.
Mosello R., Bianchi, M., Geiss, H., Marchetto, A., Serrini, G., Serrini-Lanza, G., Tartari, G.A. and Muntau, H., 1995. AQUACON – MedBas Subproject No6. Acid rain analysis. Intercomparison 1/94, Joint Research Centre European Commission. EUR 16332 EN, 44 p.
Mosello R., Tartari, G.A., Bianchi, M., Brizzio, M.C., Giuliano, R., Marchetto, A., Polesello, S., Rembges, D. and Muntau, H., 2002. AQUACON – MedBas Subproject No5. Freshwater analysis. Intercomparison 2000, Joint Research Centre European Commission. EUR 20427 EN, 114 p.
Programme Coordinating Centres, Hamburg and Prague (eds), 1994. Manual on methods and criteria for harmonized sampling, assesment, monitoring and analysis of the effects of air pollution on forests, 177 p.
Rodier J. 1984. L’analyse de l’eau. Dunod. Orleans, 1365 p.
Ukonmaanaho, L., Starr, M., 2001. Major nutrients and acidity: trends and budgets over nine year period in four remote boreal stands at Finland, in vol. Canopy and soil intercation with deposition in remote boreal forest ecosystems: a longterm integrated monitoring approach, Finish Forest Research Institute, Helsinki, ISBN 951-40-1796-X
Ulrich, E., Lanier, M., Combes, D., 1998: Dépots atmosphériques, concentrations dans les brouillards et dans les solutions du sol (sous-reseau CATAENAT). Rapport scientifique sur les années 1993 ŕ 1996. Ed.: Office National des Foręts, Département des Recherches Techniques, ISBN 2-84207-134-4, 135 p.
Ulrich, E., Coddeville, P., Lanier, M., 2002. Retombées atmosphériques humides en France entre 1993 et 1998, ADEME Editions, Paris, ISBN 2-86817-582-1, 123 p.
Summary: Trends in mineral ions depositions în forest ecosystems from Romania for the period 1998-2002
Bulk precipitation were collected in 6 stations located în forest ecosystems from north and south Romania, during 1998-2002. Samples were analysed in the laboratory for pH and the major anions and cations. For the 3 stations in the north only data from 1998 to 2001 were completed.
The fluxes of mineral ions in bulk deposition measured in 2002 for the 3 stations located in south Romania were compared to the means determined in 1998-2001. The inputs decreased for S-SO42- (19-25 %), N-NO3– ( 29-73%) and Cl– (cu 9-10%). For H+, N-NH4+, Na and K+ no trends were clearly observed. Ca2+ and Mg2+ fluxes in bulk deposition decresed in 2002 with 39-66% and respectivly 31- 78% related to 1998-2001.
Comparison of the mean ions fluxes registred in the north and south Romania during 1998-2001 revealed that excepting for H+ and Cl–, which were higher in north than in south, for all the other ions the values determined in north were equal (N-NO3–) or lower (S-SO42-, N-NH4+, K+, Mg2+, Ca2+) thanthose measured in the south part of Romania.
Values of mineral ions inputs registred in Romania from 1998 to 2002 were compared to those calculated in some zones of Europe from 1993 to 1998. Fluxes of H+, Cl– and Na+ were relatevly low compared to those form Europe. The SSO42- fluxes were moderate and high and the NNH4+, K+, Mg2+, Ca2+ were high în Romania related to those determined in Europe.
Keywords: monitoring, bulk deposition, element fluxes, input
Autorul. Ing. Carmen Iacoban este cercetător principal III în cadrul Staţiunii Experimentale de Cultura Molidului, Calea Bucovinei 73, 5950 Câmpulung Moldovenesc, jud. Suceava. E-mail: iacoban.carmen@icassv.ro.












