1. Introducere
Cercetările efectuate în ultimii 25 de ani au permis elaborarea unei serii de lucrări ştiinţifice în legătura cu defoliatorul răşinoaselor Lymantria monacha. Rezultatele cu caracter practic au fost folosite cu precădere la întocmirea îndrumărilor tehnice privind controlul populaţiilor insectei în perioada de latenţă, pe măsura obţinerii de noi rezultate ştiinţifice resimţindu-se nevoia îmbunătăţirii procedeului de lucru existent la acea dată. Cercetările desfăşurate în ultimii cinci ani au avut în vedere rolul şi influenţa factorilor naturali asupra dinamicii populaţiilor defoliatorului, eficienţa diferitelor tipuri de curse în capturarea fluturilor masculi şi modul de instalare a curselor în teren.
Controlul populaţiilor nonei în cuprinsul arboretelor de răşinoase şi de amestec, folosind reţeaua de curse feromonale de diferite desimi în raport cu vulnerabilitatea zonei la înmulţirea în masă (1 cursă/50 ha, 1 cursă/ 100 ha şi 1 cursă/200 ha), a făcut posibil studiul evoluţiei defoliatorului în perioada în care s-au executat lucrările de depistare.
2. Materiale şi metode de cercetare
Pentru îmbunătăţirea modului de lucru în controlul populaţiilor de Lymantria monacha, cercetările au avut în vedere o serie de obiective: eficienţa diferitelor tipuri de curse folo-site în experimentări, modul de amplasare în teren a curselor feromonale tip panou (poziţionarea pe arbore şi versant), dinamica numărului de capturi şi rolul factorilor naturali (biotici – păsările, şi abiotici – factorul climatic) în variaţiile numerice ale populaţiilor, studiul coloraţiei aripilor ca element de prognoză a gradaţiilor şi tendinţa de evoluţie a nivelului populaţiilor defoliatorului.
Testările efectuate în anul 1996 în supra-faţa experimentală Vladit au urmărit stabilirea capturilor de fluturi la diferite tipuri de curse (fig. 1 şi 2)
Au fost testate cursele tip pâlnie (mici şi mari), în paralel cu cele tip panou, utilizate în condiţii de producţie. În cazul curselor tip pâlnie, montarea nadelor s-a făcut în două moduri: între pâlnie şi capac – aşa cum s-a procedat până în prezent în experimentările din anii trecuţi – şi în punga colectoare. Fiecare situaţie în parte a constituit o variantă experimentală.
Pentru stabilirea poziţiei optime pe arbore a panourilor cu clei amorsate cu Atralymon, pe acelaşi arbore au fost amplasate patru pa-nouri, identice sub aspectul dimensiunilor şi al feromonului folosit, constituindu-se astfel un punct de observaţie. Amplasarea relativă a panourilor faţă de microrelieful local este prezentată în fig. 3
Conform acestei distribuţii, panourile au fost numerotate începând cu cursa 1, amplasată în aval, pe linia de cea mai mare pantă şi continuând în sensul acelor de ceasornic cu cursele 2, 3 şi 4. S-a considerat că panourile 1 şi 4 sunt amplasate în aval, iar panourile 2 şi 3 în amonte.
Acest algoritm de amplasare a fost aplicat în cursul anilor 1997-1999 în trei suprafeţe experimentale (Cumpătul, Vladit şi Zarapa), constituindu-se reţele de puncte de observaţie cu distanţa de cca. 300 m între puncte. Această distanţă permite ca fiecare punct de observaţie din reţea să acţioneze independent faţă de celelalte din punct de vedere al razei de acţiune a nadei feromonale.
Datele obţinute în intervalul 1996-1999 cu privire la capturile de la cursele feromonale tip panou, utilizate în cele trei suprafeţe experimentale menţionate anterior, au servit şi pentru stabilirea duratei şi dinamicii zborului fluturilor, precum şi pentru stabilirea procentului de fluturi consumaţi de către păsări.
Evaluarea coloraţiei aripilor s-a făcut în cursul anilor 1996, 1997 şi 1998, conform recomandărilor făcute de cercetătorii Skuhravy (Cehia) şi Kolk (Polonia), care au studiat modificarea desenului şi a intensităţii coloritului aripilor în diferite faze ale gradaţiei. În cazul cercetărilor efectuate în cele trei suprafeţe experimentale, s-a utilizat scara de evaluare Kolk (fig. 4), considerată a fi mai expeditivă în cazul lucrărilor de teren.
Cercetări privind corelaţiile existente între numărul de fluturi capturaţi anual la o cursă feromonală şi unii factori climatici au fost efectuate pentru zonele aferente ocoalelor silvice Lunca Bradului, Răstoliţa, Topliţa, Borsec şi Tulgheş. Datele climatice din ultimii 20 de ani provin de la staţia meteorologică Topliţa, aflată în perimetrul luat în studiu. Prelucrarea statistică a acestor date a permis stabilirea corelaţiilor existente între caracteristicile menţionate. În cazurile cu legături semnificative au fost determinate şi regresiile respective.
3. Rezultate obţinute
3.1. Capturile obţinute la diferitele tipuri de curse folosite în experimentări
Rezultatele capturilor la diferite tipuri de curse sunt prezentate în tabelul 1. Fără a mai apela la argumente sau calcule statistice, se remarcă capturi semnificativ mai mari la cursele tip pâlnie obişnuite decât la cele de dimensiuni mai mici sau de tip panou. Analizând datele din acelaşi tabel, rezultă că cel mai indicat este ca nadele să fie montate între capac şi pâlnie, în acest caz capturile fiind de cel puţin patru ori mai mari decât atunci când nadele sunt plasate în punga colectoare.
Cursele tip pâlnie, chiar şi cele de dimensiuni mai mici, s-au dovedit mult mai eficiente faţă de cursele tip panou, capturile fiind de până la trei ori mai mari.
În privinţa capturilor medii realizate în diferite repetiţii, se constată existenţa unor diferenţe între ele, acest fapt demonstrând influenţa condiţiilor staţionale atât asupra atracţiei feromonale, cât şi asupra nivelului populaţiilor insectei.
3.2. Influenţa modului de instalare pe arbore şi de amplasare în teren a curselor asupra capturilor
În anii 1997-1999 capturile cumulate la cursele feromonale au înregistrat valori diferite, în funcţie de amplasarea panourilor şi de suprafaţa experimentală luată în studiu. Astfel, numărul de fluturi masculi capturaţi la panourile amplasate în aval (cursele 1 şi 4) este mai mare decât la panourile amplasate în amonte (cursele 2 şi 3), respectiv 1734 faţă de 1527. Această situaţie poate fi explicată prin interpretarea etologiei fluturilor deLymantria monacha în cursul perioadei de zbor şi a direcţiei curenţilor de aer în acest interval de timp.
Cercetări anterioare (Mihalciuc et al., 1988) arată că activitatea fluturilor de Lymantria monacha se desfăşoară, în zilele de zbor, cu preponderenţă între orele 22 şi 04, cu un maxim între orele 23 şi 01. Aceste intervale de zbor suferă modificări în funcţie de fenomenele meteorologice locale şi de caracteristicile microclimatului. Totuşi, cu mici excepţii, zborul are loc în intervalul de timp prezentat mai sus.
Deplasările maselor de aer în zona versanţilor şi, respectiv, în suprafeţele experimentale, sunt guvernate, în absenţa vânturilor puternice, de briza de munte. Aceasta determină apariţia unor curenţi descendenţi pe versanţi şi de-a lungul văilor. Prin compunerea celor două componente ale direcţiilor de deplasare (fig. 5) se obţine o rezultantă ce străbate versantul din amonte spre aval, intersectând oblic curbele de nivel.
În aceste condiţii, feromonul Atralymon, care este un produs volatil, este purtat în aval de masele de aer ale brizei de munte şi este recepţionat de masculii de L. monacha. Deplasarea fluturilor masculi va urma direcţia brizei de munte, însă în sens contrar, către sursa care emite atractantul. În zborul lor nocturn, fluturii vor întâlni, în principal, panourile 1 şi 4 .
Diferenţele între capturile de la cursele amplasate în aval şi cele din amonte au înregistrat valori de 12 % în anii 1997-1998 şi 16 % în 1999.
3.3. Durata şi dinamica zborului
Zborul fluturilor de Lymantria monacha se desfăşoară în lunile iulie-septembrie, însă începutul şi sfârşitul lui pot fi decalate în funcţie de staţiune şi de evoluţia vremii.
Dinamica zborului, în cazul celor trei suprafeţe experimentale luate în studiu în anii 1996-1999, este prezentată în figura 6.
Fig. 6. Distribuţia capturilor la cursele feromonale în perioada de zbor a defoliatorului L. monacha
The dynamics of L. monacha captures during the flight period
Evoluţia capturilor la cursele feromonale se prezintă, în cele mai multe cazuri, sub forma unui grafic cu un singur maxim evident, înregistrat în ultima decadă a lunii iulie sau în prima decada a lunii august. O discontinuitate mai accentuată se remarcă în anul 1997 în toate cele trei suprafeţe de lucru, un punct evident de minim fiind înregistrat în săptămâna 25-31 august. Explicaţia acestei descreşteri semnificative a capturilor poate fi pusă pe seama condiţiilor atmosferice nefavorabile zborului, cu ploi abundente şi temperaturi scăzute.
Ipoteza existenţei a două populaţii de Lymantria monacha, una cu eclozare timpurie şi alta târzie, este susţinută numai de graficul corespunzător suprafeţei experimentale Cumpătu, unde se remarcă o discontinuitate mai accentuată în toţi anii de studiu. Totuşi, până la obţinerea unor date genetice, care să ateste existenţa a două sau mai multe populaţii de Lymantria monacha în zonă, această ipoteză nu poate fi susţinută ştiinţific.
Ipoteza existenţei a două populaţii de Lymantria monacha, una cu eclozare timpurie şi alta târzie, este susţinută numai de graficul corespunzător suprafeţei experimentale Cumpătu, unde se remarcă o discontinuitate mai accentuată în toţi anii de studiu. Totuşi, până la obţinerea unor date genetice, care să ateste existenţa a două sau mai multe populaţii de Lymantria monacha în zonă, această ipoteză nu poate fi susţinută ştiinţific.
În anii de studiu, majoritatea capturilor s-au înregistrat în perioada 20 iulie-20 august, zborul desfăşurându-se cu precădere în această perioadă. Excepţie face şi de această dată anul 1997, când evoluţia vremii de la începutul perioadei de zbor şi din timpul acesteia a determinat o decalare cu circa o lună a majorităţii capturilor.
3.4. Rolul păsărilor insectivore în reglarea naturală a populaţiilor defoliatorului
Efectuarea observaţiilor directe asupra capturilor de fluturi la panouri a permis stabilirea procentului exemplarelor consumate de păsări. Aceste valori variază în spaţiu şi timp în raport cu condiţiile staţionale, de arboret şi de climă. Aşa după cum rezultă din tabelul 2, activitatea păsărilor a fost mai slabă în anul 1996 în suprafaţa Cumpătu şi mai bună în suprafeţele Vladit şi Zarapa; în 1997 s-a înregistrat o activitate comparabilă a păsărilor în cele trei suprafeţe experimentale, iar în 1998 şi 1999 ponderea fluturilor consumaţi de păsări a crescut considerabil în suprafaţa Cumpătu. Este necesară precizarea că, la Cumpătu, aceasta disproporţie este determinată de nivelul extrem de redus al capturilor înregistrat în anii respectivi.
Din analiza diagramelor cuprinse în fig. 7 se remarcă atât zborul insectei, cât şi evoluţia activităţii păsărilor; se observă că păsările încep timid şi cu întârziere să consume fluturii de pe panouri, după 1-2 săptămâni, după înregistrarea primelor capturi.
Fig. 7. Procentul de participare a masculilor de L. monacha, capturaţi la cursele feromonaletip panou şi mâncaţi de păsări de pe panouri în cursul perioadei de zbor (1996)
The percentage of L. monacha moles caught on the plate traps and of those eaten bybirds from the traps during the flight period (1996)
Apare deci o perioadă de tatonare şi obişnuinţă, până când este localizată bine sursa de hrană, declanşând apoi activitatea de consumare a fluturilor, care continuă până la sfârşitul zborului. Această activitate se intensifică pe măsură ce are loc creşterea densităţii populaţiilor insectei (fig. 8).
Fig. 8. Variaţia procentului de masculi de Lymantria monacha consumaţi de păsări (y) în raport cu nivelul populaţiilor defoliatorului (x), stabilită în perioada 1986-1991 în suprafeţe experimen tale (Zarapa, Piatra Mare – O. s. Săcele, Noua şi Vladit – O. s. Braşov, Zabratau – O. s. Întorsura Buzăului, Borsec – O. S. Borsec, Sandru şi Hurghiş – O. S. Pojorâta, Bahna – O. s. Frasin)
Variation of the percentage of L. monacha males eaten by birds (y) according to the level of defoliator population (x) during the period 1986-1991 in several experiment plots
3.5. Coloraţia fluturilor, ca element de prognoză a gradaţiilor
Coloraţia aripilor fluturilor masculi de Lymantria monacha constituie un indicator al nivelului populaţiilor dăunătorului dintr-o anumită zonă, la un moment dat. În primele faze ale gradaţiei, metabolismul insectei este accelerat şi acest proces este evidenţiat printr-o coloraţie mai întunecată a aripilor.
În toate suprafeţele experimentale culoarea dominantă a fost 2, corespunzătoare unor culori deschise ale aripilor (fig. 9). Datele evidenţiază existenţa unor variaţii mici ale coloraţiei aripilor de la un an la altul, ceea ce conduce la concluzia că populaţiile nonei se află în latenţă.
Fig. 9. Coloraţia aripilor fluturilor masculi de Lymantria monacha capturaţi la cursele feromonale
The proportion of none moth having a certain wing color captured on traps
3.6. Rolul factorului climatic în variaţiile numerice ale populaţiilor nonei
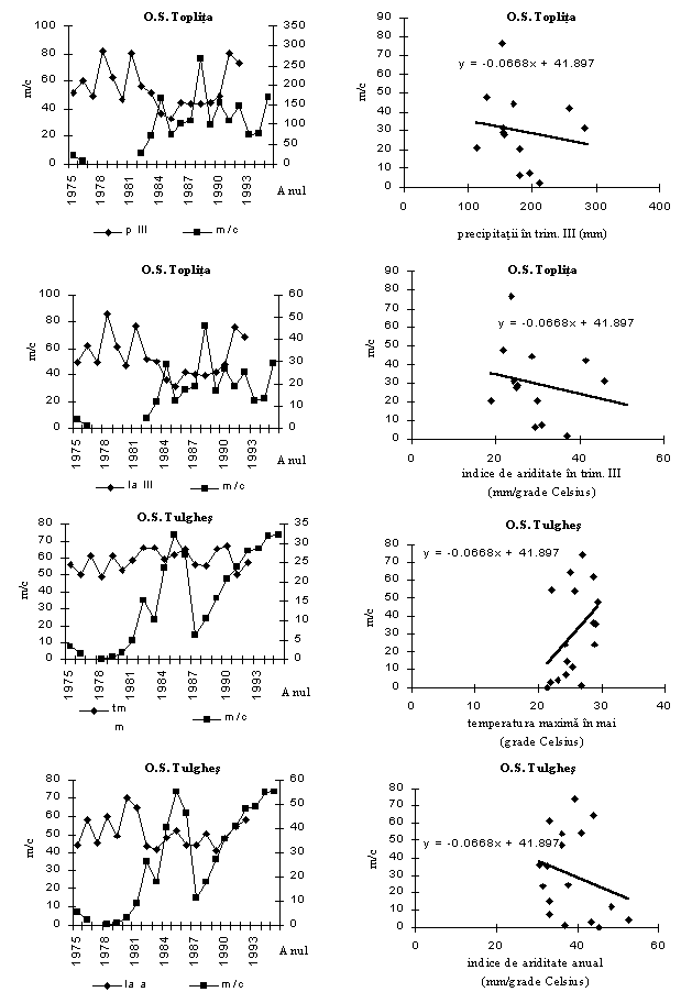
Datele din figurile 10 şi 11 arată că numărul mediu de masculi capturaţi la curse feromonale (m/c) se corelează direct cu temperatura maximă din luna mai (tm m) la ocoalele silvice Răstoliţa şi Tulgheş, valoarea maximă a coeficientului de corelaţie fiind de 0,67 la Tulgheş. Regresia dintre cele două caracteristici se prezintă sub formă liniară.
Precipitaţiile din trimestrul III (p III) sunt corelate invers cu numărul de capturi în două din cele cinci ocoale silvice (Topliţa şi Tulgheş). Regresia, stabilită pentru datele de la Topliţa, este liniară şi descendentă (r = -0,96).
Fig. 10. Variaţia comparativă a capturilor de Lymantria monacha şi a factorilor climatici în perioada 1975-1995
Comparison between the variation of L. monacha captures and variation of climatic factors during the years 1975-1995
Fig. 11. Variaţia capturilor de Lymantria monacha (y) în funcţie de factorii climatici (x)
Variation of L. monacha captures (y) according to climatic factors (x)
Numărul capturilor de masculi este corelat invers cu indicele de ariditate anual (Ia a) şi cu indicele de ariditate din trimestrul al III-lea (Ia III) la ocoalele silvice Topliţa şi Tulgheş. La Tulgheş, coeficientul de corelaţie a fost de -0,62 pentru indicele anual de ariditate şi de -0,65 pentru indicele de ariditate din trimestrul III. La Topliţa s-a stabilit numai corelaţia cu indicele de ariditate din trimestrul III (r = -0,90).
3.7. Consideraţii cu privire la evoluţia nivelului populaţiilor defoliatorului
Evidenţa anuală a capturilor de fluturi la curse feromonale a permis urmărirea evoluţiei nivelului populaţiilor de Lymantria monacha în ultimii 25 ani în cuprinsul ţării (fig. 12).
Fig. 12. Evoluţia nivelului populaţiilor de Lymantria monacha la nivelul întregii ţări, în perioada 1974-1999
The evolution of Lymantria monacha populations in Romania during the period 1974-1999
Urmărind curba capturilor, în general se remarcă creşteri ale nivelului populaţiilor în anii 1975, 1979, 1984-1985, 1988, 1990, 1993-1996 şi 1998-1999, valorile medii cele mai ridicate realizându-se totuşi în deceniul 1981-1990.
Pe zone mai restrânse, respectiv la nivelul direcţiilor silvice, evoluţia nivelului populaţiilor se prezintă în fig. 13. Cele mai mari valori medii ale capturilor (60-90 masculi pe cursă) s-au obţinut la direcţiile silvice Neamţ, Mureş şi Miercurea Ciuc, unde în trecut (1953-1959) a avut loc gradaţia nonei.
4. Concluzii
Dintre cursele feromonale testate, cele mai eficiente în atracţia fluturilor s-au dovedit a fi cele de tip pâlnie normală, cu nada montată între capac şi pâlnie, capturile fiind de 3-6 ori mai mari decât în cazul curselor tip panou folosite în producţie la această dată.
Montarea curselor feromonale tip panou, în cazul în care se folosesc la depistarea insectei, se recomandă a fi făcută pe partea din aval a tulpinii arborilor, deoarece în această poziţie capturile sunt cu 10-20 % mai mari decât pe partea din amonte a aceleiaşi tulpini.
Zborul fluturilor în zona cercetată s-a declanşat în decursul decadelor II-III din luna iulie, mai devreme sau mai târziu, în raport cu condiţiile locale de staţiune şi arboret. Activitatea de zbor s-a realizat, în cea mai mare parte, până în prima decadă a lunii august, când s-au capturat peste 60 % din totalul masculilor. Din acest punct de vedere, desfăşurarea zborului pe ani este asemănătoare în 1996 şi 1999, respectiv în 1997 şi 1998, când s-a înregistrat o decalare a capturilor mai spre toamnă.
Aportul păsărilor la diminuarea densităţii fluturilor se estimează a fi de 30-40 %. Înainte de a începe să consume fluturii prinşi pe panoul cu clei, păsările necesită o perioada de 1-2 săptămâni de tatonări şi acomodare, până când localizează bine sursa de hrană, apoi continuă această activitate, înregistrând maxime decalate şi ele cu aproximativ o săptămână faţă de cele ale zborului insectei.
Coloraţia aripilor este deschisă la peste 98 % din fluturii capturaţi la panourile cu adeziv şi acest lucru arată că în zona cercetată, la această dată, insecta se afla în latenţă.
Densitatea populaţiilor nonei (număr masculi/cursă) este influenţată semnificativ de variaţiile temperaturii maxime din luna mai, de precipitaţiile înregistrate în cursul perioadei de zbor şi de ariditatea anuală. Nivelul capturilor se corelează pozitiv cu temperatura maximă şi negativ cu precipitaţiile si indicele de ariditate.
Nivelul populaţiilor, stabilit în perioada anilor 1974-1999 în baza datelor obţinute din producţie şi cercetare, este caracteristic perioadei de latenţă a defoliatorului. S-au înregistrat fluctuaţii ale populaţiilor de la un an altul şi de la o zonă la alta, însă fără depăşirea pragului critic al capturilor, atât ca valoare medie, cât şi ca valoare individuală. Evoluţia populaţiilor este următoarea: apare o tendinţă de creştere a capturilor în jurul anului 1980, se ating valori maxime în anii 1982-1988, mai devreme sau mai târziu, în diferite zone din ţară, urmează o scădere a acestor capturi în anii 1989-1991, şi apoi, în general, o creştere a lor în următorii ani, până în prezent.
Bibliografie
Mihalciuc, V., în colaborare cu Diter S., Olenici, N., Creangă, I., Bândiu, C., Ghizdavu, L., Ceianu, I., Simionescu, A., 1988. Stabilirea dinamicii populaţiilor de Lymantria monacha şi a tehnologiilor de avertizare a înmulţirilor în masă – depistarea începutului înmulţirii în masă pentru prevenirea atacurilor prin aplicarea din timp a măsurilor de combatere. Referat ştiinţific final. Manuscris I.C.A.S. Bucureşti, 55 p.
Mihalciuc, V., Simionescu, A., 1989. Consideraţii cu privire la evoluţia populaţiilor defoliatorului Lymantria monacha în cuprinsul ţării în perioada anilor 1974-1986. Revista Pădurilor, nr. 1: 31-33.
Mihalciuc, V., Mircioiu, L., Oprean I., 1997. The influence of climatic factors on the numerical variation of Lymantria monacha populations in Romania. In: Knizek, M., Zahradnic, P., Divis, K. (eds.) Proceedings of the Workshop on Forest Insects and Disease Surey, Pisek, Czech Republic, April 7-10, 1997. Forestry and Game Management Research Institute Jiloviste – Strnady, Praga, p. 119-131.
Mihalciuc, V., Olenici, V., în colaborare cu Mircioiu, L., Bujilă, M., Oprean, I., Tăuţan, L., Gânscă, L., Chiş, V., Popovici, N., Pop, L., Gocan, A., Ciupe, H., Olenici, N., 1998. Cercetări asupra unor dăunători periculoşi pentru speciile de răşinoase. Referat ştiinţific final. Manuscris I.C.A.S. Bucureşti, 118 p. + 24 anexe.
Summary
Research on Lymantria monacha aiming to improve the monitoring system used for this pest
Researches have been conducted during the last 5 years. The main studied topics were: the efficiency of different kind of traps, the position of the trap on the tree, the dynamics of captures and the influence of the local factors (biotic – birds and abiotic – whether) on it, as well as possibility to use the wing colour for prognosis of population trend. Funnel traps caught 5 times more none males than panel traps used to day for monitoring of this pest. The plate traps set up downstream on the stem of trees caught 10-20 % more males than those set up upstream. The moth flight begins during the second or third decade of July and lasts until the middle of September, but the most buterflies have been caught until middle of August. The insect eating birds consumed about 30-40 % of none males captured on the plate traps. The rate of consumption increased after a period of bird adaptation to the new source of food. In the studied area, 98 % of captured moth had light wing colour, which corresponds to a very low level of population. The density of population is favourable influenced by maximum temperature in May and negatively influenced by rainfall during the flight as well as by annual drought index. Fluctuations of population level occured, but no outbreak began during the last 25 years.
Keywords: Lymantria monacha , population dinamics, monitoring systemAutorii: dr. ing. Vasile Mihalciuc, ing. Lucian Mircioiu şi ing. Adela Mihalciuc activează în cadrul Staţiunii I.C.A.S. Braşov, str. Cloşca nr. 13, 2200 Braşov, jud. Braşov, e-mail: icasbv@bx.logicnet.ro.


















