Revista “Bucovina Forestieră” şi-a făcut deja un titlu de onoare din a-l găzdui în paginile sale pe prof. Mihail Prodan. Bucovinean prin naştere, Profesorul – pentru că sub titulatura cu majusculă se regăsesc toate distincţiile obţinute de-a lungul vieţii – a reluat colaborarea cu publicaţiile româneşti prin intermediul acesteia, aşa cum odinioară debutul său, în plan ştiinţific, se producea tot într-o revistă românească.
După publicarea unor articole legate de activitatea sa ştiinţifică, unele dintre ele inedite, în numărul dedicat special în anul 1998, în acest număr se republică una din primele lucrări semnate de Mihail Prodan, în revista “Viaţa forestieră”, nr. 5-6 din 1940. Prin această intenţie a redacţiei se aduce, încă o dată, un omagiu uneia dintre adevăratele valori şi personalităţi ale silviculturii româneşti, oferindu-se celor interesaţi pagini de dendrometrie şi silvicultură la un nivel care, pentru perioada în care au fost publicate, pot fi considerate similare cu cercetări de profil din străinătate.
Aceste pagini reflectă numai parţial potenţialul ing. Mihail Prodan, confirmat apoi de prestigioasa carieră care a urmat. Ne reamintim, când spunem aceasta, de celebra întâlnire a ing. Mihail Prodan cu prof. Rohrl de la Facultatea de Silvicultură a Universităţii din Freiburg, când acesta din urmă ar fi exclamat: “Dumneata eşti omul meu !”
[Notă: articolul respectă formulările şi ortografia originale, editorul incluzând doar unele adnotări necesare înţelegerii textului (referinţele la tabele, figuri), traducerile acestora şi rezumatul în limba engleză.]
1. Introducere
1. Studiul de faţă se referă la compoziţia şi structura arboretelor exploatabile din ocolul silvic Ostra (actualmente contopit cu ocolul Stulpicani) al Fondului Bisericesc din Bucovina, căutând să stabilească rela- ţiuni între diferite mărimi ce caracterizează un arboret.
Dispunând de materialul adunat de secţia de amenajare a Fondului Bisericesc, am putut folosi aceste date pentru a arunca o lumină asupra arboretelor exploatabile pure şi de amestec intim de molid, fag şi brad din regiunea de munte.
Metodele de cercetare sunt cele statistice, întrucât ele ne oferă posibilitatea aflării unor relaţiuni precise între diferite elemente ale arboretelor.
2. Cunoaşterea structurii arboretelor exploatabile din regiunea de munte este, fără îndoială, importantă, pe de o parte pentru că ne oferă posibilitatea de a găsi diferite relaţiuni ce ne interesează, pe de altă parte fiindcă ne dă o imagine asupra tipurilor de arborete din pădurile unde omul nu a avut decât o slabă sau nici un fel de influenţă în privinţa compoziţiei şi aspectului, dat fiind că aceste arborete sunt în majoritatea cazurilor cuprinse între 100-200 ani vârsta medie, deci datează de la o epocă în care omul încă nu a putut influenţa întru nimic înfăţişarea pădurilor din aceste locuri.
Practica amenajării pădurilor Fondului Bisericesc prevede inventarierea completă a tuturor arboretelor care formează posibilitatea pe un deceniu, precum şi pe primii doi ani ai deceniului următor, prin cluparea tuturor arborilor peste 14 cm diametru la înălţimea pieptului.
Astfel fiind, toate arboretele din această categorie au fost inventariate (în categorii din 2 în 2 cm) cuprinzând: (i) pe deceniul 1936-1945: 665,06 ha cu 290.750 mc; (ii) pe primii doi ani din deceniul următor:133,01 ha cu 47.680 m3.
Deci, în total: 798,07 ha, cu 338.430 m , cu peste 200.000 arbori, constituind deci măsurători destul de mari pentru a se putea încadra între cercetările prin metode statistice.
Deşi aceste date au o valoare strict locală, totuşi ele ne pot conduce la rezultate valabile pentru arborete de compoziţie identică din regiuni similare, pentru care motiv voiu preciza mai întâi caracterisiticile gene-rale, atât ale regiunii, cât şi ale arboretelor studiate
2. Caracteristicile arboretelor studiate
3. Ocolul silvic Ostra este situat în judeţul Câmpulung, în bazinul superior al râului Suha (care se revarsă la Frasin în râul Moldova) şi cuprinde o suprafaţă pădu- roasă de 10.047 ha, proporţia speciilor pe întregul ocol fiind de: molid 0,55; brad 0,23; fag 0,20; rarişti şi goluri 0,02. Altitudinea variază între 591 m şi 1476 m dela nivelul mării.
Clasele de fertilitate (după Feistmantel) se repartizează astfel: cl. IV-a de fertilitate (după Feistmantel) 48,0 %; cl. V-a de fertilitate (după Feistmantel) 41,0 %; cl. VI-a de fertilitate (după Feistmantel) 7,7 %; cl.VII- a de fertilitate (după Feistmantel) 3,3 %.
Suprafaţa pădurilor acestui ocol se situiază în zona pădurilor de amestec dela munte, arboretele naturale de mo + fag + br în amestec intim fiind cele predominante.
4. Pentru a putea studia arboretele amintite, care cuprind, după cum am amintit, suprafaţa totală de 798,07 ha, cu un volum lemnos de aproape 350.000 mc, a fost nevoie de o clasificare.
Din cele peste 100 parcele am eliminat pe cele sub consistenţa 0,7, acestea nereprezentând proporţia iniţială a amestecului natural, din cauza extragerilor din trecut ale răşinoaselor.
Am grupat parcelele studiate în mai multe categorii, după compoziţia arbore- telor, iar fiecare grupă s-a studiat după clasele de fertilitate deosebite, conducându-ne după faptul că atât clasa de fertilitate, cât şi consistenţa unui arboret influenţează caracteristicile acestuia în mărimea lor.
Caracteristici mai detaliate se vor da la fiecare grup de arborete.
3. Arboretele de amestec de molid cu brad şi fag
5.Dau mai jos tabloul arboretelor de amestec intim de molid cu brad şi fag (tabelul 1, n. ed.) arboretele cu o consistenţă inferioară lui 0,7 nefiind luate în considerare; datele au fost luate din amenajamentul ocolului silvic Ostra pe deceniul 1936-1945.
Din tabloul de mai sus (tabelul 1, n. ed.) se vede că avem: la cl. IV de fertilitate 74,87 ha, la cl. V de fertilitate 162,67 ha, la cl. VI de fertilitate 62,51 ha, deci în total 300,05 ha.
Pentru aceasta, vom da mai întâi un tablou cuprinzând numărul, suprafaţa teri- eră şi volumul lemnos al fiecărei parcele, după cum urmează (tabelul 2, n. ed.).
Comparând tabloul 2 cu tabloul 1, unde avem date şi clasele de fertilitate, se poate vedea că numărul arborilor e un caracter mai variabil al unui arboret, pe când volumul la hectar şi suprafaţa terieră sunt caractere mai stabile, care caracterizează mai bine un arboret şi clasa de fertilitate din care face parte.
Totuşi, repartiţia numărului arborilor pe clase de diametre ne indică în mod destul de clar structura şi forma unui arboret exploatabil, din punct de vedere al dimensiunilor ce ne interesează.
Vom începe, deci, cu studiul repartiţiei numărului arborilor pe diametre.
7. Numărul arborilor. Repartiţia numărului arborilor pe categorii de diametre prezintă mai multe particularităţi, care se deosebesc întrucâtva după clasele de fertilitate. Vom arăta mai jos în liniile principale metoda statistică de lucru ce am întrebuinţat-o.
Să considerăm astfel parcela 9b pt E, de suprafaţă 8,58 ha; numărul arborilor pe categorii de diametre se vede din tabloul de mai jos (tabelul 3 n. ed.) compus după datele de inventariere.
Din repartiţia numărului pe categorii de diametre se poate constata dela început că la diametrele mici numărul arborilor este mai bine reprezentat, totuşi la diametrele mai mari această lege nu se manifestă aşa de evident.
Am procedat atunci la formarea claselor de diametre reunind 5 categorii (din 10 în 10 cm); astfel, clasa formată din categoriile 14, 16, 18, 20 şi 22 cm cuprinde toţi arborii cari au diametrul cuprins între 13,0 cm şi 23 cm, ceea ce este conform cu regulile statistice.
Pentru cercetarea structurii arboretelor exploatabile, clasele de 10 cm sunt suficiente, având în vedere marile diametre existente.
Ultima clasă conţine ca ultimă categorie pe 100 cm, din tabloul de inventariere; însă se vede că toţi arborii de peste 100 cm grosime (diametru terier) au fost trecuţi la categoria de 100 cm, ceea ce e un motiv de neprecizie, încă nu unul aşa de important, 66 având în vedere că la această grosime arborii sunt slab reprezentaţi.
Repartiţia numărului de arbori pe clase de diametre astfel formate ne indică o anumită tendinţă. Pentru a o pune mai clar în evidenţă, am introdus în loc de numărul absolut al arborilor, repartiţia în procente faţă de numărul total, pe diferite clase de diametre. Din tabloul 2 putându-se da numărul de arbori pe hectar, se poate deduce repartiţia numărului de arbori la hectar pe diferite clase de diametre în mod foarte simplu (tabelul 4, n. ed.).
Dăm mai jos noua repartiţie a numărului arborilor pe clase de diametre.
Se vede că repartiţia numărului de arbori pe diverse clase de diametre urmează o lege precisă: clasa de diametre de 13-23 (de la care s-a început inventarierea) e cea mai bine reprezentată, iar numărul de arbori descreşte cu cât creşte clasa de diametre.
Vom studia mai întâi repartiţia numărului total al arborilor, după care vom consi-dera repartiţia pe care o manifestă fiecare din cele trei esenţe.
Odată ce ştim modul de lucru, voiu da mai jos tabloul (tabelul 5, n. ed.) repartiţiei pe procente la diferite clase de diametre a numărului de arbori şi, pentru a se vedea deosebirile ce reies între diferite clase de fertilitate, voiu împărţi parcelele după aceste clase de fertilitate.
8.Din parcelele arătate, care cuprind un număr de aproape 100.000 arbori, se poate constata că, procentual, repartiţia arborilor pe diferite clase nu variază aşa de mult încât să nu ne permită considerarea unei clase de fertilitate cu arborete de vârste egale, ca un colectiv continuu format din toate parcelele (tabelul 6, n. ed.)
Procentul diferitelor clase de diametre pe clase de fertilitate a fost calculat făcând suma claselor de diametre dela toate parcelele, precum şi suma numărului total al arborilor pe parcele.
În acest mod se poate constata că procentul primei clase de diametre (şi în general, al claselor mai mici), descreşte de la o clasă de fertilitate inferioară la una superioară.
Faptul că, deşi studiile se referă la arborete exploatabile cu o vârstă cuprinsă între 100-200 ani, numărul arborilor nu e repartizat prin valori din ce în ce mai dese în jurul unui diametru mediu (ca în cazul curbei de repartiţie normală, asupra căreia vom reveni mai la vale), ci, după cum se vede, în mod descrescând, de la diametrul cel mai mic considerat, spre cel mai mare, ne conduce la concluzia că aceste arborete au o structură de caracterul unei păduri virgine, unde clasele de diametre sunt intim amestecate. Mai la vale se va vedea însă că diametrul mediu în funcţie de repartiţia volumului lemnos pe clase de diametre este diferit de diametrul mediu în funcţie de repartiţia numărului arborilor, şi că acest diametru mediu în funcţie de volum este foarte mare, faţă de dimensiunile obişnuite ale arborilor, aşa că ne explică şi aspectul acestor 68 arborete, în care deşi arborii subţiri se află în număr mai mare, totuşi se pierd în faţa ochilor, diametrul mediu după apreciere orientându-se după arborii cei mai groşi.
În cele ce vor urma, vom considera, precum am zis mai sus, clasele de fertilitate ca formând fiecare câte un singur colectiv, însă în ce priveşte numai numărul total al arborilor, urmând ca să revin la repartiţia numărului de arbori pe clase de diametre, în cazul diferitelor specii, ceva mai târziu.
9. Legea de repartiţie a numărului arborilor pe clase de diametre.
Înainte de a intra în studiul acestei legi, să amintim câteva noţiuni de statistică, elementare.
În repartiţia unui colectiv numim variabila în funcţie de care studiem repartiţia colectivului, argument, iar numerele care reprezintă repartiţia pentru diferite valori ale argumentului dau, prin însumarea lor, mărimea sau masa colectivului.
Legile de repartiţie ale diferitelor colective se studiază în comparaţie cu repartiţia erorilor după curba lui Gauss indicate în bibliografie.
Curba de repartiţie normală:
(colectivul continuu), şi anume (în cazul cel mai general): modul cum se constitue un colectiv pentru studiu, adică formarea de clase (în cazul nostru de diametre) se vede din tabela 3 şi tabela 4.
Tabela 3 poartă denumirea de tabelă iniţială şi conţine măsurătorile făcute, iar tabela 4 este tabela de repartiţie a colectivului în clasele de diametre din 10 în 10 cm.
Pentru alte detalii, a se consulta cărţile este simetrică în raport cu axa OY, iar notaţiile întrebuinţate sunt :
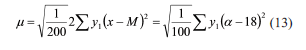
-unde: x este valoarea argumentului (în exemplul nostru, mijlocul fiecărei clase), M este media aritmetică, iar ju este dispersiunea în jurul diametrului mediu, caracterizată prin abaterea medie patratică.
-unde: N este massa colectivului (dacă lucrăm cu procente avem N = 100).
III. Abaterea medie patratică este rădăcina a 2-a din suma momentelor de ordinul 2, în raport de media aritmetică M:
Cu elementele date mai sus, repartiţia unui colectiv se poate exprima printr-o relaţie continuă de felul celei din formula (2).
Totuşi, colectivele întâlnite în domeniul ştiinţelor practice arată de multe ori un mod de repartiţie în jurul mediei aritmetice, care nu e simetric şi nici nu creşte sau descreşte în aceeaşi măsură ca în cazul colectivului dat de curba de repartiţie normală.
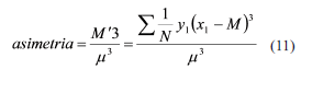
C. V. L. Charlier dă o relaţie mai completă, în care se pot încadra toate felurile repartiţie a diferitelor colective: unde după relaţia (4) am avut Coeficientul 03 e numit coeficientul de asimetrie şi ne dă o măsură a acesteia în repartiţia colectivului.
axei OY şi invers.
Dacă acest coeficient e nul, atunci colectivul arată o repartiţie simetrică în jurul mediei aritmetice M.
Ca măsură a asimetriei, prin metoda momentelor se obţine: adică momentul de ordinul 3 al repartiţiei împărţit prin cubul abaterii patratice.
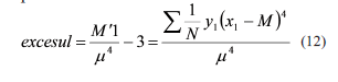
Coeficientul (34 ne dă o măsură despre aceia ce am putea-o numi intensitatea de repartiţie în jurul mediei aritmetice M şi se numeşte coeficientul de exces.
Dacă acest coeficient 34 este nul, repartiţia decurge ca la curba de repartiţie normală (creşte şi descreşte în aceiaşi măsură). Dacă coeficientul 34 este pozitiv înseamnă că repartiţia colectivului în jurul mediei aritmetice M arată o tendinţă mai puternică de urcare decât în cazul curbei
normale şi, invers dacă β54 este negativ.
Ca măsură a excesului avem:
În cele ce urmează vom determina coeficienţii β 33 şi β 34 sau prin încercări sau prin formulele date mai sus.
9. In cazul relaţiilor de mai sus, suprafaţa cuprinsă între axa OX şi curbă ne dă tocmai cuprinsul colectivului considerat.
Deoarece însă am împărţit diametrele în clase (din 10 în 10 cm), ordonatele în punctele corespunzătoare ne vor da tocmai repartiţia pe clase de diametre, aşa că nu mai e nevoie să facem vreo integrare; trebue să ţinem seama însă că în toate formulele date, intervalul între clase (10 cm) este luat ca unitate.
Cu privire la repartiţia numărului arborilor pe clase de diametre remarcăm următoarele: prima clasă de diametre e cel mai bine reprezentată, aşa că în cazul unei relaţii matematice, acesta ar fi vârful curbei de repartiţie. Avem deci o ramură a curbei şi ne lipseşte cea din partea stângă.
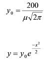
Pentru a determina elementele caracteristice curbei iată cum vom proceda: considerăm mijlocul primei clase de diame- tre (18 cm) ca media aritmetică a întregei repartiţii – cea reală, pe care o avem şi cea închipuită, pe care nu o avem. Astfel fiind, N este în cazul acesta 200 (procente).
În funcţie de această medie, determinăm pe m cu o oarecare aproximaţie : considerând suma abaterilor patratice de o parte egală cu cea din ramura cealaltă, ceea ce nu e întotdeauna adevărat.
Determinăm pe m° conform relaţiei:
Valorile funcţiei sunt date în I pag. 283 pentru valori ale lui x cuprinse între 0,0 şi 5,0 (lucrarea lui Czuber-Burkhardt: Die Statistichen Forschungsmethoden).
Pe ß3 şi ß4 îl vom determina prin încercări, lipsindu-ne posibilitatea de a determina pe M’3 şi pe M’4.
Am găsit, procedând cum am arătat mai sus, următoarele ecuaţii, care ne dau reparţia numărului arborilor pe clase de diametre:
În aceste ecuaţii am avut:
unde x este mijlocul clasei de diametreconsiderată.
Dau mai jos tabloul care cuprinde datele calculate alături de cele determinate de fapt (tabelul 7, n. ed).
De la clasa de fertilitate V în jos, toate trei esenţele molid, fag şi brad, arată o repartiţie descrescând regulat, observându- se totuşi la brad clasele de diametre mari mai puternic reprezentate decât la molid şi fag.
Dăm mai jos tabloul cu repartiţia procentuală pe clase de diametre a numărului arborilor pe specii şi pe clase de fertilitate, (tabelul 8, n. ed.)unde am calculat procentele fiecărei clase de diametre din numărul total al arborilor dintr-o specie pe câte o întreagă clasă de diametre considerată.
Din acest tablou se văd clar cele expuse mai sus.
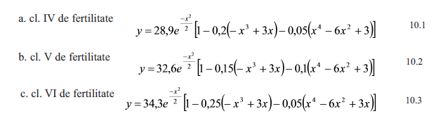
În afară de aceasta am determinat ecuaţiile curbelor (10) pentru fiecare din cele trei clase de fertilitate întâlnite fertilitate IV, acestea fiind mai caracteristice mai ales pentru brad.
Din reprezentarea grafică (fig.1, n.ed.) se pot vedea diferenţele de repartiţie între cele trei esenţe.
Ecuaţiile sunt (cl. IV de fertilitate):
iar rezultatele sunt date în tabloul următor (tabelul 9, n. ed.).
Valorile obţinute prin formulele stabilite sunt foarte apropiate de cele reale, în afară de prima clasă; diferenţa la această clasă se justifică prin faptul că în consideraţiunile noastre nu am putut dispune decât de o singură ramură a curbelor (10), ceea ce din punct de vedere teoretic e un motiv de nesiguranta.
Dau şi graficele acestor repartiţii. Voiu reveni mai târziu asupra mediei aritmetice M şi asupra abaterei patratice în funcţie de repartiţia numărului arborilor în cazul repartiţiilor reale (aceste medii aritmetice diferă de M=18 cm, considerată în cazul nostru numai pentru a putea determina ecuaţia curbei). Vreau să spun câteva cuvinte asupra modului de repartiţie a fiecărei specii.
11.Repartiţia numărului arborilor pe clase de diametre la diferite specii.
Cele trei specii nu se acomodează în mod egal curbelor stabilite, ci fiecare manifestă o comportare caracteristică pentru viaţa lor în arboret.
a. Fagul. Numărul arborilor descreşte după clasele de diametre la această specie mult mai repede decât în cazul numărului total de arbori, putându-se constata că fagul este foarte slab reprezentat în clasele mari, deci nu atinge dimensiuni aşa de mari ca răşinoasele.
Cu aceste date încheiu prima parte a acestui studiu, urmând să reviu asupra suprafeţei teriere şi volumului acestor arborete, cu care ocazie voiu da lămuriri mai interesante în ce priveşte diferitele medii aritmetice precum şi asupra semnificaţiei lui m.
Pe lângă relaţiile numerice stabilite mai sus, din acest studiu se poate desprinde importanţa cercetărilor statistice asupra elementelor arboretelor, precum şi claritatea cu care se manifestă diferite caracteristici intime ale arboretelor supuse acestor cercetări.
Bibliografie
Czuber-Burkhardt, 1938. Die Statistichen Forschungsmethoden. Wien
Manfred Naslund, 1936. Skogsforsoksanstaltens gallringsforsok i tallskog. Stokholm
Amenajamentul ocolului silvic Ostra – Fond. Bis. 1936-1945.
Summary (by editorial office): Structure of some exploitable forest stands from the mountainous area
The paper presents one of the first scientific works of the prof. dr. dr. h. c. Michail Prodan, pub- lished in the Romanian forestry journal “Viaţa forestieră” (“The forestry life”), in 1940, before starting his prodigious career in Germany. The used data – as in some of his next papers – are from the forest inventories performed in the forest districts of the Romanian Orthodox Religion Found from Bucovina (Eastern Carpathians) with the occasion of the forest management plans renewal. Some details: (natural, almost primeval) forest stands between 100-200 years, pure or mixed from species Norway spruce, Silver fir, Beech, in total 200,000 records. The analyzed stands were grouped based on Feistmantel class fertility and the basic analysis were the distribution of tree diameters, for these tree species and fertility classes. were computed the theoretical distribution for the diameter classes, using the Charlier approach.
Keywords: diameter class distribution, Norway spruce, Silver fir, Beech, Charlier distribu- tion, Eastern Carpathians























